KHOA HỌC CHỨNG MINH SỰ TỒN TẠI CỦA THẾ GIỚI BÊN KIA: ‘ĐO ĐỘ SÁNG’ LINH HỒN
Không chỉ dừng lại bằng việc sử dụng các nhà ngoại cảm và các thí nghiệm được thiết kế chặt chẽ nhằm chứng minh sự tồn tại của linh hồn người đã mất, các nhà khoa học Mỹ còn sử dụng những thiết bị và công nghệ tiên tiến nhất để chứng minh sự tồn tại một cách rõ ràng của linh hồn.
Nếu trong phần 1 của loạt bài này, Giáo sư Gary E. Schwartz hợp tác với một người có những giấc mơ tiên tri trong một thí nghiệm được thiết kế một cách khoa học để chứng minh sự tồn tại của Thiên Chúa, thì trong phần 2 , ông lại hợp tác với các nhà ngoại cảm trong các thí nghiệm được thiết kế nghiêm ngặt để chứng minh sự tồn tại của linh hồn con người sau khi họ chết.

Tuy vậy, các thí nghiệm của phần 1 và phần 2 cùng tồn tại một vấn đề, đó là những thông tin đến từ thế giới bên kia - thành phần quan trọng của các thí nghiệm - chỉ được gửi đến một vài cá nhân cụ thể, chứ nó không tác động đến các công cụ hoặc thiết bị thí nghiệm như các thí nghiệm khoa học vẫn thường diễn ra. Nguyên nhân của việc này là tại thời điểm đó, trình độ khoa học và công nghệ chưa cho phép Gary có thể sử dụng các máy móc để thực hiện thí nghiệm, cho đến gần đây….
1. Thí nghiệm chứng minh linh hồn tồn tại bằng thiết bị nhân quang điện (photomultiplier)
Năm 2010, Gary E. Schwartz có một báo cáo khoa học được bình duyệt, đăng trên tạp chí Explore có tên “Ứng dụng Công nghệ Nhân quang điện bán dẫn để phát hiện sự tồn tại của Linh hồn và Ý định: 3 thí nghiệm chứng minh khái niệm (Possible Application of Silicon Photomultiplier Technology to Detect the Presence of Spirit and Intention: Three Proof-of-Concept Experiments”).
Gary sử dụng thiết bị nhân quang điện bán dẫn (photomultiplier) vốn là một cảm biến quang điện cực nhạy có khả năng phát hiện và đếm từng photon ánh sáng, cảm biến thành dòng điện và nhân lên ở mức hàng trăm triệu lần. Ông đặt các cảm biến quang điện này vào trong 2 hoặc 3 lớp hộp kín, đảm bảo độ tối của môi trường và thỉnh cầu các linh hồn mà ông đã biết (ở phần 2 của loạt bài này) tác động đến cảm biến trong hộp kín. Sau đó ông đếm số photon mà cảm biến phát hiện được trong giai đoạn (ông mời) linh hồn tác động vào cảm biến và so sánh với số photon cảm biến phát hiện được trước khi (mời) linh hồn tác động vào cảm biến (baseline trial) hoặc trường hợp bản nhân Gary tự suy nghĩ tác động vào cảm biến (control trial). Kết quả lặp lại nhiều lần các thí nghiệm có độ dài 300 giây (5 phút) cho thấy số photon trung bình đo được khi Gary mời các linh hồn tác động vào cảm biến cao hơn ít nhất 1,5 lần so với số photon trung bình đo được của trường hợp còn lại.


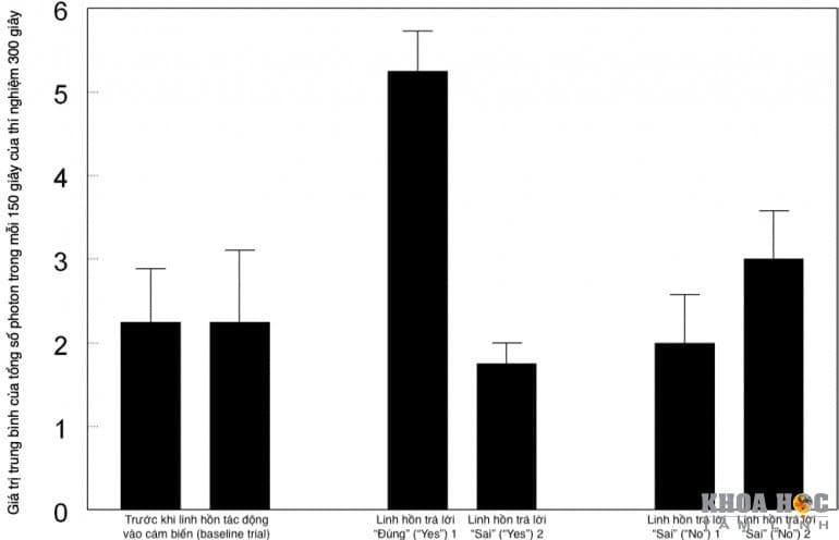
Gary còn thực hiện một thí nghiệm táo bạo, đó là xác định khả năng linh hồn có thể trả lời câu hỏi nhị phân Đúng hoặc Sai (Yes or No) hay không? Ông đặt một màn hình máy tính lớn hiển thị các câu hỏi để linh hồn có thể trả lời Đúng hoặc Sai qua việc tác động vào cảm biến quang điện trong các lớp hộp kín và đếm số photon cảm biến phát hiện được trong mỗi 300 giây.
Kết quả phân tích 10 lần lặp lại thí nghiệm cho thấy, ngay trong 150/300 giây đầu tiên khi linh hồn trả lời là Đúng (Yes), lượng photon thiết bị cảm biến phát hiện và đếm được cao hơn 2,5 lần đối với trường hợp trước khi đặt câu hỏi (baseline trial) hoặc linh hồn trả lời câu hỏi là Sai (No). Thí nghiệm này cho thấy manh mối về việc thiết lập một kênh thông tin liên lạc theo kiểu nhị phân, giống như mã Morse (mã Moóc) giữa con người và các linh hồn.

2. Thí nghiệm xác định sự xuất hiện của linh hồn bằng phép đo quang điện tử tự động
Trong thí nghiệm trên, Gary vẫn cần phải sử dụng người để thu thập dữ liệu từ các cảm biến. Điều này dẫn đến nghi ngờ rằng người làm thí nghiệm có thể tác động gây ảnh hưởng đến tính trung thực và minh bạch của số liệu thí nghiệm.
Để loại bỏ điều này, năm 2011, Gary đã thiết kế một thí nghiệm mới , trong đó toàn bộ quá trình thu thập dữ liệu được thực hiện tự động mà không cần đến các thí nghiệm viên.
Thí nghiệm “Phép đo quang điện tử xác định sự xuất hiện rõ ràng của linh hồn sử dụng hệ thống máy tính tự động ( Photonic measurement of apparent presence of spirit using computer automated system )” được bình duyệt và đăng trên tạp chí Explore như sau:
Gary sử dụng loại camera có độ nhạy cực cao gồm cảm biến hình ảnh VersArray XP NTE3 CCD-77-B của hãng Princeton Instruments , quan sát một buồng tối ở nhiệt độ -77oC. Quá trình thí nghiệm được điều khiển tự động bằng máy tính thông qua phần mềm RoboTask đặt tại buồng điều khiển, sát buồng tối ghi hình. Buồng điều khiển camera có 2 màn hình, màn hình thứ nhất 19 inch dùng để hiển thị hình ảnh camera trên phần mềm hiển thị hình ảnh camera chuyên dụng WinView32 , màn hình thứ hai 32 inch dùng để hiển thị một file trình chiếu (powerpoint file) hiển thị các câu hướng dẫn các linh hồn cần làm gì trong thí nghiệm, đồng thời phòng này cũng có 1 chiếc loa để phát các file audio có lời hướng dẫn đối với linh hồn. Có 2 linh hồn được mời tham dự thí nghiệm, bao gồm Susy Smith và Angel Sophia, thứ tự của các linh hồn trong thí nghiệm được lựa chọn ngẫu nhiên bởi máy tính.


Thí nghiệm cho thấy, vào thời điểm các linh hồn được mời vào buồng tối và phát sáng, ánh sáng thu được từ camera sáng hơn so với trường hợp trước và sau khi linh hồn được mời vào buồng tối (pre-baseline trial và post-baseline trial), hoặc trường hợp linh hồn không được mời vào buồng tối (control trial).

Để định lượng một cách chính xác độ sáng của các điểm ảnh, file ảnh thô thu được từ phần mềm Winview (độ phân giải 512×512 điểm ảnh) được sử dụng để phân tích chuỗi Fourier nhanh (FFT - Fast Fourier Transformation) bằng phần mềm ImageJ . Kết quả phân tích FFT cho thấy trong trường hợp có linh hồn được mời phát sáng trong buồng tối, độ sáng trung bình của các điểm ảnh cao hơn nhiều so với trước và sau khi hồn được mời vào buồng tối (pre-baseline trial và post-baseline trial).

Hai thí nghiệm bằng các cảm biến ánh sáng nêu trên là bước đầu cho việc ứng dụng các thiết bị thí nghiệm hiện đại của Gary E. Schwartz nhằm chứng minh sự tồn tại hiện hữu của linh hồn. Nó giúp chúng ta có niềm tin rằng, nếu các nhà khoa học có thể cởi mở, thoát khỏi lối tư duy và quan niệm truyền thống, đặt câu hỏi và giải quyết một cách nghiêm túc những câu hỏi về lĩnh vực bí ẩn này thì xung đột giữa khoa học và tâm linh sẽ không còn nữa.







0 nhận xét:
Đăng nhận xét